新闻动态   News
最新资讯   New
搜索   Search
你的位置:首页 > 新闻动态

即使空气净化器的原理有效,如何说明它真能改善室内空气质量?

2024/10/25 15:40:20

  

有了一个具有某个CADR值的空气净化器,我怎么能知道这台净化器会让我家里的空气变好呢?

这个可以算数,数字是不会骗人的。

新国标里面给出了一个简化的室内颗粒污染物浓度动态平衡模型,图示如下:


橙色的两个箭头代表的是颗粒物进入室内空气的两个途径,蓝色的三个箭头代表的是颗粒物离开室内空气的三个途径。

这里需要再次强调一下CADR的物理意义。CADR可以有正反两方面的理解

·

1.从正面,提供洁净空气的角度来说,具有某CADR值的空气净化器,等价于一个提供等量的绝对洁净空气,用来稀释室内污染物的进风口。

·

·

2.从反面,清除室内污染物的角度来说,具有某CADR值的空气净化器,等价于一个吸收等量空气中所有污染物的吸尘口。下面的计算用到的是CADR第二种物理意义。

·

识别了这些途径之后,就可以得知,对于任意时刻,室内空气颗粒物浓度的变化速率,就是这五个途径加加减减形成的动态平衡。如果污染的速度快一些,浓度便升高,如果净化的速度快一些,浓度便降低。

也就是说,污染的速率减去净化的速率,就是这个时刻室内空气颗粒物浓度的变化速率,如果是正值,就说明室内空气颗粒物浓度在上升,室内空气质量在变差,反之则说明室内空气质量在变好。

对于一个固定房间来说,如果外界条件不再变化,那么房间中将形成一个动态平衡,就是净化速度与污染速度持平,单位时间内进入系统的颗粒物和排出系统的颗粒物等量,此时室内空气质量不再变化,即变化速率为零,也就是以上五个途径中,两个污染途径的速率之和与三个净化途径的速率之和相等。

由于重度雾霾的情况下,室内颗粒物的主要来源为外界渗入,而示意图中标记为4号的室内污染源因房间而异,较难量化,不方便进行理论计算,因此在这里直接忽略不计,所以前面描述的动态平衡变成颗粒物渗入的速率,与沉降,净化器净化,自然排出三个净化途径的速率之和相等。

颗粒物渗入室内的速率,与室外颗粒物浓度,室内换气率,以及颗粒物穿透各种缝隙进入房间的穿透系数相关,为三者乘积,沉降速率则与室内颗粒物浓度以及自然沉降系数有关。

净化器净化速率则是CADR值一项,而自然排出则是渗入的反过程,此处穿透各种缝隙的穿透系数没有影响,因为只要排出去,不管是排到室外环境,还是吸附在各种缝隙上,都离开了室内空气系统,因此是室内颗粒物浓度与换气系数的乘积。

这个动态平衡则可以用一个等式表达,然而这个等式乍一看也还是没有什么意义,经过变形可以得到一个比较有趣的等式:

等式左边是室内外颗粒物浓度的比值,也可以理解为配备了空气净化器的房间可以把颗粒物浓度降低到室外浓度的比例,最终是一个百分比,1减去这个比例,就是这个房间的防护系数。

比如说室外颗粒物浓度是100微克/立方米,室内经过净化器持续净化的浓度达到了10微克/立方米,那么这个比例就是10%,此时这个房间的防护系数就是1-10%=90%,等价于一个90%防护系数的口罩。

等式右边的分子为颗粒物穿透系数*室内换气次数,分母则是三个清除颗粒物的途径所对应的系数:自然沉降系数,换气系数,和CADR占室内空间的百分比,可以理解为清洁系数。

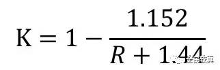
对于穿透系数,自然沉降系数,换气系数,国标中都有相关的估值,将这些数值带入之后,等式变为:

另外,其中室内空间V可以由使用面积乘以层高得来,层高按照2.4米估算,同时令CADR与使用面积的比值为R,令室内防护系数为K,带入所有数据得到:

用这个等式画出来一条曲线图的话,就可以更直观地看出清洁系数(CADR/面积)和防护系数(室内环境相较室外环境,清除颗粒物浓度的百分比)两者之间的关系。清洁系数越大,防护系数越高。

通过前面的数学计算,得出了一个结论,清洁系数越高,室内环境的防护系数越高。

而当室内没有空气净化器的时候,防护系数为40%,意味着此时室内空气中颗粒物浓度为室外浓度的60%。然而这个数字不太符合实际情况,一般来说室外有雾霾的时候,室内如果没有空气净化器参与,很难做到浓度只为室外的60%。

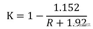
分析原因可能在于自然沉降率的高估,因为室内有人员活动以及一些气流,加之渗入室内的多以难以沉降的细颗粒物为主,因此在实际情况中,自然沉降几乎可以忽略不计。经过修正的公式,变成:

绘制相应曲线如下图:


此时可以看到不使用空气净化器的房间,只有20%的防护系数,这与一般的经验比较符合,基本可以认为是一个比较符合实际的模型。

图中的红线是90%防护系数的位置,类似于口罩的防护等级达到A级,这条线可以当做室内防护系数的合格线,这就意味着即便在室外爆表的情况下,室内空气也可以基本维持优到良的水平。


这是在上海轻度污染时实测的防护系数对比。由于AQI这个参数不是线性的,在50以下的部分会比颗粒物浓度偏大一些,所以这个结果基本上就是做到了90%的防护系数。

这个防护系数对应的清洁系数在10左右,这也是为什么在选购空气净化器的时候,应该按照使用面积乘以10来计算所需的CADR(注:建议一个房间配一台空气净化器。如果一台净化器同时用于多个房间,即便CADR与实际适用面积符合,效果也会打折扣)。超过这点之后,清洁系数的增长带来的防护系数增长就非常缓慢了,没有太大意义。

所以说,身处一个开启了足够CADR空气净化器的室内环境,就相当于佩戴了A级口罩。而身处不使用空气净化器的室内,则相当于带了一个基本没有防护作用的普通口罩。

经过前面的理论推算,就可以得出一个比较确切的结论,空气净化器在雾霾天确实能改善室内空气质量,只是选用时一定要注意使用面积和CADR值的匹配。这点我会在接下来的文章里详细谈到。

对于室内气态有机物污染来说,其实道理是类似的,只不过输入输出途径不同。增加的途径只有一个,就是装修材料,家具材料的释放,清除的途径则有两个,一个是空气净化器的清除作用,另一个是向室外扩散的过程。最终计算完成的曲线也应该与前面的曲线类似。

然而甲醛释放量和很多因素有关,比如说温湿度,选用材料是否符合较高的环保标准,家具和装修材料是否有表面破损等等,很难做统一的估算,所以在这里就不展开了。只需要记得一个结论,使用空气净化器会极大地提升防护系数,不过提升到一定程度之后提升效果就没那么明显了。

值得注意的是,这个公式中还有一个重要参数——换气率。这个参数对应的是房间的密封性,密封性越好的房间,外界空气渗入就越难,也就越容易取得较好的防护系数。因此当防护系数没办法提高时,需要考虑是不是可以改善一下房间的密封性,这也是提高室内整体防护效果非常有效的一个手段。

所以说,应对雾霾,在家靠空净,出门靠口罩。这句话不仅仅是说起来工整,也确实是有其实际意义的,室内开启足够CADR的空气净化器,相当于你在房间里就能得到防霾口罩级别的保护,却不需要忍受口罩带来的种种不适,是健康性和舒适性的有机结合。